

近日,齊魯工業大學(山東省科學院)海洋技術科學學部海洋生物監測技術創新單元在海洋雙殼貝類行為解析研究領域取得新進展,相關成果發表于海洋與淡水生物學一區TOP期刊《Frontiers in Marine Science》(IF 5.247)。
我國是貝類產業大國,貝類健康評價方法的發展對降低貝類養殖風險、提高養殖產量、提升育種效益具有重要意義。但現有方法多為實驗室操作,步驟繁瑣,且傷害貝類活體。雙殼貝類貝殼張合行為作為貝類重要的生物行為,與其日常生理活動、躲避敵害等息息相關,能夠反映貝類活性、環境耐受性與抗逆性。因此,突破貝類張合行為跟蹤無損監測技術,對解析貝類行為規律、促進貝類育種養殖業發展具有積極意義。
海洋學部研究團隊圍繞貝類張合行為監測技術研究,開發了適用于海洋雙殼貝類行為監測傳感器。基于霍爾效應,通過電磁感應技術獲取貝類雙殼張合行為電信號,根據裝置中線性霍爾元件與磁鐵之間的電勢差變化,計算出貝類雙殼張合的實際距離,實現貝類雙殼張合時間、距離、頻率、及速率的原位、連續、實時監測。目前樣機根據需求可進行8-16通路數據采集,采樣間隔100ms、精度1mV,距離監測精度0.1mm,并已完成水下監測測試(圖1)。

圖1 雙殼貝類張合行為監測樣機(A)及蝦夷扇貝張合行為長期連續監測(B、C)
以我國北方重要養殖品種蝦夷扇貝(Patinopecten yessoensis)為例,在實驗室下模擬貝類正常生長環境,通過長期連續監測發現,扇貝雙殼張合行為具有日周期節律特點,即每日7:00-9:00和17:00-19:00期間張合頻率顯著升高(圖2),其活躍時間段與貝類心跳的日周期節律規律相似。通過連續監測至扇貝自然死亡發現,存活時間久的個體,其快速開合的雙殼運動在其整個監測過程中的日分布可能更均勻(圖3),這提示我們速率指標是反映貝類活性的重要參數,貝類張合行為與其機體能量利用代謝具有密切聯系。

圖2 蝦夷扇貝雙殼張合行為日周期頻率統計圖

圖3 不同蝦夷扇貝個體雙殼快速張合運動日分布圖
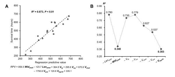
進一步評估雙殼開合運動與扇貝活力及死亡率的相關性發現,利用扇貝體尺參數及張合運動指標,能夠評估扇貝生存潛力,其生存潛力預測系數與扇貝存活時間呈顯著正相關(R2=0.873,P<0.01)(圖4)。在此回歸分析中,貝類雙殼快速張合能力及殼寬(貝類厚度指標)是評估扇貝生存潛力重要的變量(圖4),且上述指標被認為可能與殼韌帶和肌肉的運動屬性相關,影響貝類張合行為強度。本研究為貝類生存潛力預測提供了一種高效無損的評估方法。

圖4 蝦夷扇貝雙殼張合行為與其存活時間回歸分析(A:預測系數與扇貝存活時間呈顯著正相關,B:殼寬或最高速率指標缺失對R2影響較大)
海洋學部海洋生物監測技術創新單元主要從事海洋生物信號識別與原位監測方法基礎研究。單元負責人荀小罡是本論文第一作者,海洋環境智能監測技術院士創新中心孔祥峰副研究員、中國海洋大學海洋生物遺傳學與育種教育部重點實驗室胡曉麗教授是本論文的通訊作者。
文章鏈接:https://www.frontiersin.org/articles/10.3389/fmars.2023.1129456/full
魯公網安備 37021202001273號
版權所有:山東省科學院海洋儀器儀表研究所
地址:中國青島苗嶺路37號
電話:0532-58628535
ICP備案號:魯ICP備2020037682號